1
Perioada de actualizare
de la 20.02.2025 07:53
până la 26.02.2025 10:00
2
Propunerea ofertelor
de la 26.02.2025 10:00
până la 04.03.2025 09:00
3
Licitaţie
nu va fi folosită
4
Evaluare

5
Contract

Statut Evaluare
Valoarea estimată fără TVA 170 000 MDL
Perioada clarificărilor: 20 febr 2025, 7:53 - 26 febr 2025, 10:00
Perioada de depunere a ofertelor: 26 febr 2025, 10:00 - 4 mart 2025, 9:00

Suport Tehnic pentru furnizori:

(+373) 79999801


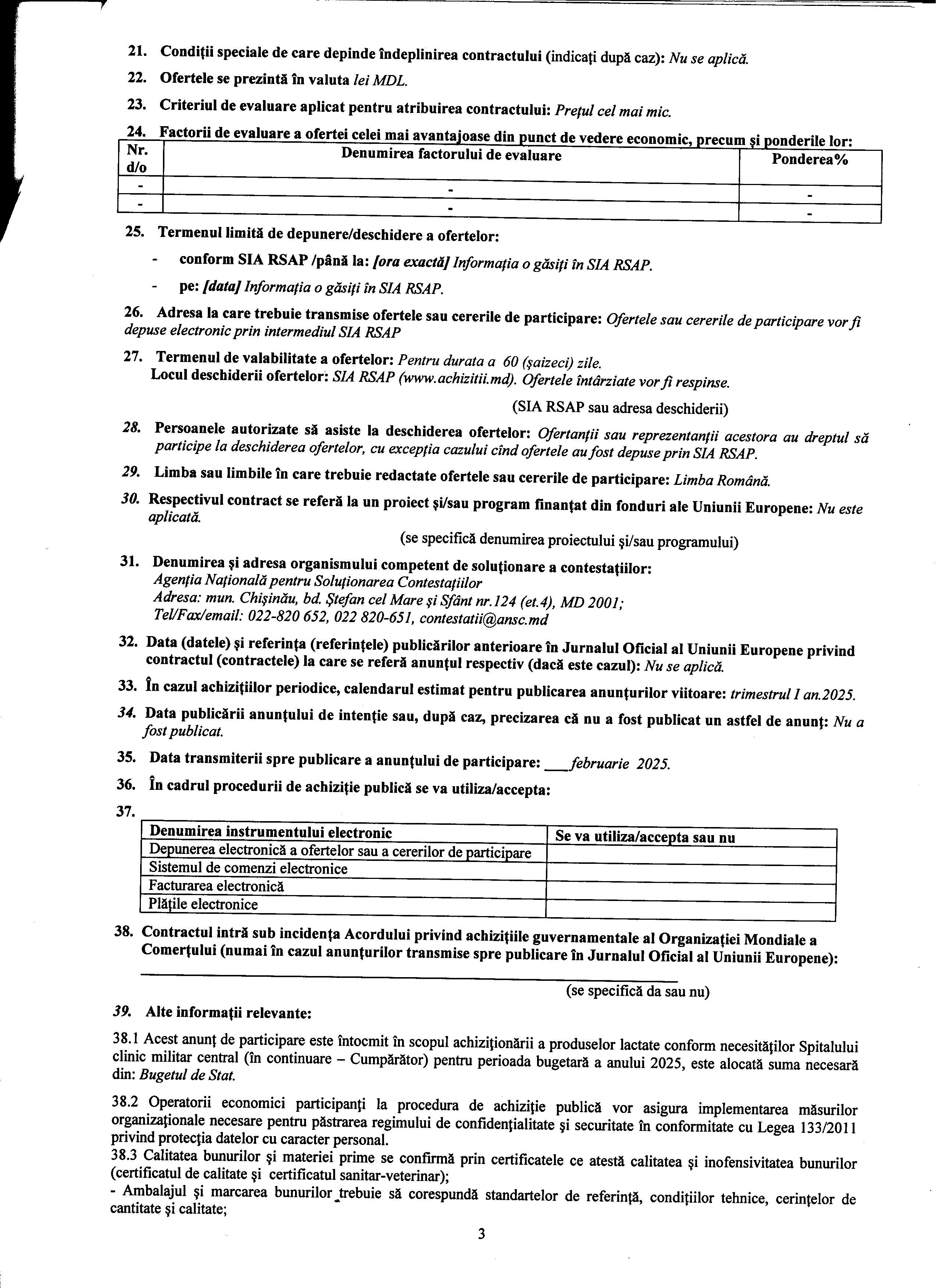
Aceasta procedura se va desfășura fară licitație electronică. Oferta Dvs. este finală și trebuie să conțină toată lista de documente cerută de documentația de atribuire.

Publicitate
Publicitate

Achizitionarea produselor lactate pentru anul 2025

Informaţia despre solicitant
Codul fiscal/IDNO
Adresa
MD-2008, MOLDOVA, mun.Chişinău, mun.Chişinău, Vasile Lupu 32
Web site
---
Persoana de contact
Nume Prenume
TIRTAN Ecaterina
Telefonul de contact
079506275
Datele achizitiei
Data publicării
20 febr 2025, 7:53
Data ultimilor modificări
20 febr 2025, 7:53
Achizitii.md ID
21368374
CPV
15500000-3 - Produse lactate
Tipul procedurii
Achiziții cu costuri mici
Criteriu de atribuire
Preţul cel mai scăzut
Surse de finanțare
Lista loturilor
Publicitate
Documentele procedurii de achiziție
anunt de participare (1).jpg
Documentele la ofertă
-
20.02.25 07:53
anunt de participare (2).jpg
Documentele la ofertă
-
20.02.25 07:53
caiet de sarcini (2).jpg
Documentele la ofertă
-
20.02.25 07:53
documentația standard lactate.docx
Documentele la ofertă
-
20.02.25 07:53
anexa 22.jpg
Documentele la ofertă
-
20.02.25 07:53
anunt de participare (3).jpg
Documentele la ofertă
-
20.02.25 07:53
anexa 23.jpg
Documentele la ofertă
-
20.02.25 07:53
caiet de sarcini (1).jpg
Documentele la ofertă
-
20.02.25 07:53
Doar utilizatorii autorizați ai platformei pot să adreseze întrebări în perioada de clarificări.